Los satélites geosincrónicos son una herramienta fundamental en el mundo de las comunicaciones y la observación terrestre. Estos satélites orbitan alrededor de la Tierra a una altitud de aproximadamente 36.000 kilómetros y tienen una velocidad angular igual a la velocidad de rotación de la Tierra. Esto significa que los satélites geosincrónicos permanecen en una posición fija en relación a la superficie terrestre, lo que los hace ideales para la transmisión de señales de televisión, telefonía móvil, internet y observación meteorológica.
La altitud exacta de un satélite geosincrónico es de 35.786 kilómetros sobre el nivel del mar. Esta altitud es crucial para que el satélite pueda permanecer en una posición fija en relación a la Tierra, lo que permite que las antenas de transmisión y recepción en la Tierra puedan apuntar de manera constante al satélite. Además, la altitud también es importante para determinar la cantidad de energía solar que recibe el satélite, lo que influye en su capacidad de operar y en su vida útil.
¿Qué es un satélite geosincrónico y cómo funciona?
Un satélite geosincrónico es un tipo de satélite artificial que se encuentra en órbita alrededor de la Tierra a una altitud de aproximadamente 35,786 kilómetros. La característica distintiva de estos satélites es que se mueven a la misma velocidad de rotación que la Tierra, lo que les permite mantenerse siempre sobre la misma posición geográfica.
Estos satélites son ampliamente utilizados en áreas como las telecomunicaciones y la observación de la Tierra. En el caso de las telecomunicaciones, los satélites geosincrónicos se utilizan para transmitir señales de televisión, telefonía y datos a larga distancia. Su posición fija les permite cubrir grandes áreas geográficas, lo que los hace ideales para la transmisión de señales a nivel global.
Para entender cómo funciona un satélite geosincrónico, es importante conocer algunos conceptos clave. En primer lugar, los satélites se mantienen en órbita gracias a la fuerza de gravedad de la Tierra, que los atrae hacia su centro. Sin embargo, también experimentan una fuerza centrífuga producida por la rotación de la Tierra. Estas dos fuerzas se equilibran y permiten que el satélite se mantenga en una órbita estable.
Además de esto, los satélites geosincrónicos también deben tener una inclinación determinada con respecto al plano ecuatorial de la Tierra. Esta inclinación es necesaria para compensar la inclinación axial de la Tierra y garantizar que el satélite permanezca sobre una posición geográfica específica durante todo el año.
Los satélites geosincrónicos utilizan una serie de instrumentos y sistemas para cumplir con sus funciones. Por ejemplo, cuentan con antenas y transmisores para recibir y enviar señales de telecomunicaciones. También suelen tener cámaras y sensores para capturar imágenes y datos de la Tierra.
la órbita geosincrónica no es exclusiva de los satélites artificiales. La Luna también se encuentra en una órbita geosincrónica alrededor de la Tierra, lo que explica por qué siempre vemos la misma cara del satélite.
Contenidos
- ¿Qué es un satélite geosincrónico y cómo funciona?
- ¿Cuál es la altura de un satélite geosincrónico y por qué es importante?
- Algunas de las ventajas de los satélites geosincrónicos son:
- Cómo se calcula la altitud de un satélite geosincrónico
- Satélites geosincrónicos: Funcionamiento y aplicaciones actuales
- Fuentes:
- Preguntas frecuentes: ¿Qué altitud tiene un satélite geosincrónico?
- Relacionados
- El impacto ambiental de los satélites: Basura espacial, contaminación electromagnética y radiación s...
- Todo lo que necesitas saber sobre los satélites naturales: Composición, origen, tipos y característi...
- ¿cuantos kilometros son de la tierra?
- Todo lo que debes saber sobre el costo y rentabilidad de los satélites
- El satélite Francisco de Miranda: contribuciones en clima, investigación, comunicación y seguridad
- Sputnik 1: La historia, el objetivo y las reacciones
- El papel crucial de los satélites artificiales en telecomunicaciones, observación, navegación e inve...
- La distancia y la gravedad: ¿Cómo afectan al tiempo de llegada al centro de la Tierra?
- Starlink: Internet global con velocidades de hasta 300 Mbps y datos ilimitados
- El papel crucial de los satélites de comunicación en la era digital
- Satélites del Sol: Lista, Características y Funciones
- Europa: La cuarta luna de Júpiter y sus características
- Componentes clave de la basura espacial: partículas de pintura y otros materiales desprendidos
- Conectores SATA en Placas Base: Tipos, Capacidad y Restricciones
- Órbita de satélites: Altura, velocidad y factores influyentes
- Los principales generadores de basura espacial: Estados Unidos, Rusia y China
- Descubre las ventajas de Starlink: ¿Qué es y cómo funciona?
- Explorando los satélites de Júpiter: nombres, clasificación y características
- El impacto del planeta que cambió la Tierra: Teorías y su influencia en la evolución de la vida
- Los anillos de Plutón: descubrimiento, características e investigaciones recientes

¿Cuál es la altura de un satélite geosincrónico y por qué es importante?
Un satélite geosincrónico es aquel que orbita la Tierra a una altura de 35.786 kilómetros sobre el ecuador. Esta altura es crucial para que el satélite pueda mantener una órbita sincrónica con la rotación de la Tierra, lo que significa que siempre estará sobre la misma posición en la superficie terrestre.
La altura de un satélite geosincrónico es importante porque permite la transmisión de señales de comunicación, televisión, internet y otros servicios en tiempo real a larga distancia. Además, también se utilizan para la observación de la Tierra, la medición del clima, la navegación y la investigación científica.
Algunas de las ventajas de los satélites geosincrónicos son:
- Permiten la comunicación en tiempo real a larga distancia.
- Facilitan la observación de la Tierra y la medición del clima.
- Se utilizan para la navegación y la investigación científica.
la altura de un satélite geosincrónico es determinante para su correcto funcionamiento y para que pueda cumplir con sus funciones de manera eficiente.
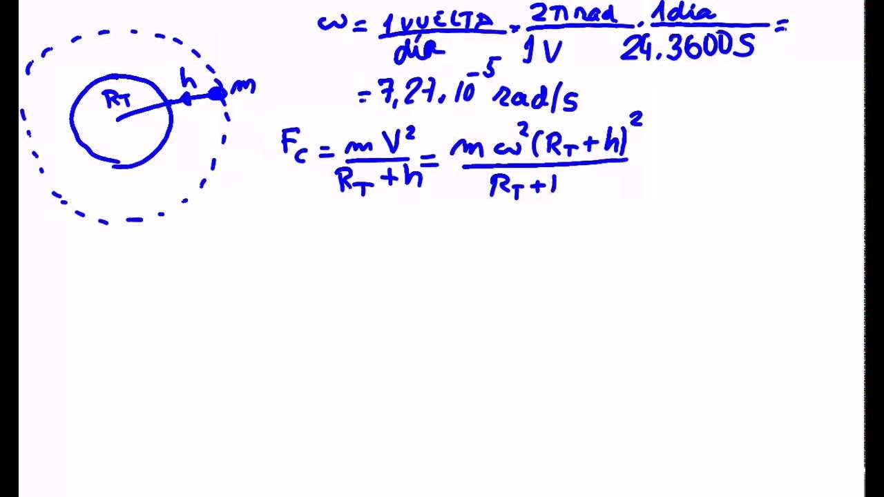
Cómo se calcula la altitud de un satélite geosincrónico
La altitud de un satélite geosincrónico es un dato crucial para su correcto funcionamiento. Este tipo de satélites orbitan la Tierra a una altura de aproximadamente 36.000 kilómetros y se utilizan para comunicaciones, observación meteorológica y otras aplicaciones. Pero, ¿cómo se calcula su altitud?
Para determinar la altitud de un satélite geosincrónico, se utiliza la fórmula matemática conocida como la Ley de Kepler. Esta ley establece que el cuadrado del período orbital de un satélite es proporcional al cubo de su distancia media a la Tierra. En otras palabras, cuanto más lejos esté el satélite de la Tierra, más tiempo tardará en completar su órbita.
Para aplicar esta fórmula, se miden los tiempos de tránsito del satélite a través del cielo y se comparan con las efemérides (tablas de posición) del satélite. A partir de esta información, se puede determinar la altitud del satélite.
Pero este proceso no es tan sencillo como parece. El cálculo de la altitud de un satélite geosincrónico requiere de equipos especializados y personal altamente capacitado. Además, cualquier pequeño error en la medición puede tener consecuencias graves en su funcionamiento.

Satélites geosincrónicos: Funcionamiento y aplicaciones actuales
Los satélites geosincrónicos son aquellos que se encuentran en órbita alrededor de la Tierra a una altura de aproximadamente 36,000 kilómetros. Esta posición les permite permanecer siempre en el mismo punto sobre la superficie terrestre, lo cual resulta de gran utilidad para diversos fines.
El funcionamiento de estos satélites se basa en el principio de que su periodo orbital coincide con el periodo de rotación de la Tierra, de manera que permanecen siempre en una posición fija con respecto a un punto en la superficie terrestre. Esto se logra gracias a la utilización de motores de propulsión a bordo del satélite, los cuales se encargan de realizar pequeñas correcciones en su órbita para mantenerlo en la posición correcta.
La principal aplicación de los satélites geosincrónicos es en el campo de las comunicaciones. Debido a su posición fija, permiten establecer enlaces de comunicación confiables y estables entre distintos puntos de la Tierra. Este tipo de satélites se utilizan para la transmisión de señales de televisión, telefonía móvil, internet y otros servicios de telecomunicaciones. Además, también son empleados en la transmisión de datos e imágenes, lo cual resulta de gran utilidad para aplicaciones científicas, meteorológicas y militares.
Otra aplicación importante de estos satélites es en el campo de la observación de la Tierra. Al encontrarse siempre en la misma posición sobre la superficie terrestre, permiten obtener imágenes y datos continuos de una determinada área geográfica. Esto resulta de gran utilidad para el seguimiento de fenómenos naturales como huracanes, tormentas y cambios en la vegetación, así como para la vigilancia de actividades humanas como la deforestación y el tráfico marítimo.
Además, los satélites geosincrónicos también tienen aplicaciones en la navegación y el posicionamiento global. Por ejemplo, el sistema de posicionamiento GPS utiliza una constelación de satélites geosincrónicos para determinar la ubicación exacta de un receptor en la superficie terrestre. De esta manera, es posible utilizar dispositivos móviles y sistemas de navegación para determinar nuestra ubicación con gran precisión.
Los satélites geosincrónicos desempeñan un papel fundamental en numerosas aplicaciones actuales. Su posición fija sobre la superficie terrestre les permite ser utilizados en el campo de las comunicaciones, la observación de la Tierra, la navegación y el posicionamiento global. Gracias a su funcionamiento y características, estos satélites han revolucionado varios sectores de la tecnología y han permitido el desarrollo de servicios y herramientas que forman parte de nuestro día a día.
Fuentes:
- https://www.nasa.gov/
- https://www.esa.int/
Los satélites geosincrónicos son una de las tecnologías más importantes del siglo XXI.

Preguntas frecuentes: ¿Qué altitud tiene un satélite geosincrónico?
Los satélites geosincrónicos son aquellos que se encuentran en órbita alrededor de la Tierra a una altitud de aproximadamente 36.000 kilómetros. Esta altitud permite que los satélites se muevan a la misma velocidad que la rotación de la Tierra, lo que les permite mantener una posición fija sobre un punto en la superficie terrestre. Si tienes preguntas sobre los satélites geosincrónicos y su funcionamiento, aquí encontrarás respuestas a las preguntas más frecuentes.
¿Cuál es la composición química detallada de la Tierra y cómo se compara con otros planetas terrestres en nuestro sistema solar y más allá?
La composición química de la Tierra está formada principalmente por hierro, oxígeno, silicio, magnesio, níquel y otros elementos. En comparación con otros planetas terrestres como Marte y Venus, la Tierra tiene una mayor cantidad de hierro y níquel en su núcleo, lo que le da un campo magnético más fuerte. En cuanto a planetas más allá de nuestro sistema solar, la composición química varía enormemente y depende de factores como la distancia a su estrella y la temperatura de su superficie.
¿De qué está compuesta la Tierra y qué tipo de planeta es?
La Tierra está compuesta por rocas, metales, agua y una capa gaseosa llamada atmósfera. Es un planeta sólido con una superficie rocosa y una atmosfera que permite la vida.
