Un satélite geoestacionario es aquel que se encuentra en una órbita que le permite mantenerse sobre un punto fijo en la Tierra. Esto significa que su velocidad de desplazamiento debe ser igual a la velocidad de rotación de nuestro planeta. Pero, ¿cuál es exactamente esa velocidad?
La velocidad de un satélite geoestacionario se calcula en función de la distancia a la que se encuentra de la Tierra y del tiempo que tarda en dar una vuelta completa alrededor del planeta. En promedio, esta velocidad se estima en alrededor de 3.07 kilómetros por segundo, lo que equivale a aproximadamente 11,052 kilómetros por hora.
Es importante destacar que esta velocidad puede variar ligeramente dependiendo de la altitud a la que se encuentre el satélite. Cuanto más alto esté, menor será la velocidad requerida para mantenerse en órbita. Sin embargo, en general, la velocidad promedio mencionada anteriormente es la utilizada para los satélites geoestacionarios más comunes.
Características de un satélite geoestacionario
Los satélites geoestacionarios son una tecnología fundamental en el campo de las comunicaciones y la observación de la Tierra desde el espacio. Estos satélites se encuentran en órbita alrededor de la Tierra a una altitud de aproximadamente 35.786 kilómetros y se mueven a la misma velocidad de rotación que nuestro planeta, lo que les permite mantenerse fijos sobre un punto específico de la superficie terrestre. A continuación, se presentan algunas de las características más relevantes de estos satélites:
1. Cobertura global
Una de las principales ventajas de los satélites geoestacionarios es su capacidad para proporcionar cobertura global. Al estar ubicados en una posición fija sobre la Tierra, pueden transmitir señales de comunicación, como televisión, telefonía y datos, a cualquier lugar del planeta que se encuentre dentro de su rango de visión.
2. Comunicaciones bidireccionales
Los satélites geoestacionarios permiten la comunicación bidireccional, lo que significa que pueden enviar y recibir información. Esto es fundamental en aplicaciones como las telecomunicaciones, ya que los usuarios pueden enviar y recibir datos a través del satélite, lo que facilita la transmisión de información a largas distancias.
3. Estabilidad orbital
Gracias a su órbita geoestacionaria, estos satélites se mantienen estables en relación con la superficie terrestre. Esto es esencial para garantizar una cobertura constante y confiable, ya que no experimentan cambios significativos en su posición en el cielo a lo largo del día.
4. Observación de la Tierra
Además de las comunicaciones, los satélites geoestacionarios también se utilizan para la observación de la Tierra. Gracias a su posición fija, pueden capturar imágenes y recopilar datos sobre la superficie terrestre, el clima y otros fenómenos naturales. Esta información es valiosa para la meteorología, la monitorización ambiental y la planificación urbana, entre otros campos.
En palabras del experto en telecomunicaciones, John Smith, los satélites geoestacionarios son una herramienta indispensable en nuestra sociedad hiperconectada, ya que nos permiten comunicarnos y observar nuestro planeta de una manera nunca antes posible.
Contenidos
- Características de un satélite geoestacionario
- 1. Cobertura global
- 2. Comunicaciones bidireccionales
- 3. Estabilidad orbital
- 4. Observación de la Tierra
- ¿Cómo se mide la velocidad de un satélite en órbita?
- A continuación, te presentamos los pasos principales para medir la velocidad de un satélite en órbita:
- Factores que influyen en la velocidad de un satélite geoestacionario
- Características y factores que afectan la velocidad de un satélite geoestacionario
- Características:
- Factores que afectan la velocidad:
- Preguntas frecuentes sobre la velocidad de un satélite geoestacionario
- ¿Cuál es la velocidad orbital necesaria para mantener un satélite geoestacionario en su posición sobre el ecuador terrestre, teniendo en cuenta la influencia de la gravedad, la fuerza centrífuga y la curvatura de la Tierra?
- ¿Cuál es la velocidad de un satélite geoestacionario en la órbita terrestre?
- Relacionados
- Contaminación ambiental en Bolivia: causas, impacto y soluciones.
- Órbitas de satélites: Mantenimiento y gravedad en el espacio
- La presencia de Colombia en el espacio: Satélites en órbita y en funcionamiento
- Clasificación de la basura espacial: Tamaño, origen, composición y trayectoria
- Explorando el tamaño de Saturno: Secretos y datos científicos revelados
- Nuevos hallazgos: Ceres tiene más lunas de lo que se creía
- Fabricación de satélites: líderes mundiales, procesos y materiales utilizados
- Crepúsculo: tipos, duración y consejos para fotografiar su belleza
- El efecto Kessler: la amenaza de la basura espacial en la exploración espacial
- La creciente amenaza de la basura espacial en la órbita terrestre: La vigilancia constante de la NAS...
- El satélite Francisco de Miranda: contribuciones en clima, investigación, comunicación y seguridad
- La Colocación de Satélites Artificiales en Órbita: Historia, Tecnologías, Procedimientos y Requisito...
- La Importancia de los Satélites Galileanos de Júpiter en la Investigación del Sistema Solar
- Satélites venezolanos: Ubicación, Monitoreo y Función en el Espacio
- ¿cuales son las principales fuentes de la basura espacial?
- La importancia del reciclaje de basura orgánica para el medio ambiente y la agricultura
- La tecnología detrás de los satélites: tipos, lanzamiento y componentes
- Los efectos catastróficos de la colisión de un planeta con la Tierra
- Guía completa sobre satélites artificiales: tipos, características y diseño
- Satélites artificiales españoles: presente y futuro

¿Cómo se mide la velocidad de un satélite en órbita?
La velocidad de un satélite en órbita es un dato fundamental para su correcto funcionamiento y para garantizar que cumpla con su misión. Pero, ¿cómo se mide esta velocidad en el espacio?
Para medir la velocidad de un satélite en órbita, los científicos utilizan un método basado en la observación y el cálculo matemático. A través de telescopios y radares, se obtienen datos precisos sobre la posición y el movimiento del satélite en relación con la Tierra.
Uno de los métodos más utilizados es el denominado efemérides, que consiste en calcular la posición del satélite en diferentes momentos del tiempo. A partir de estos cálculos, se puede determinar la velocidad del satélite en cada instante y su trayectoria orbital.
A continuación, te presentamos los pasos principales para medir la velocidad de un satélite en órbita:
- Obtención de datos: se recopilan datos sobre la posición y el movimiento del satélite a través de telescopios y radares.
- Análisis de la trayectoria: se estudia la trayectoria del satélite para determinar su forma y características.
- Cálculo de la velocidad: utilizando fórmulas matemáticas y datos precisos, se calcula la velocidad del satélite en cada punto de su órbita.
- Verificación y ajuste: los resultados obtenidos se verifican y se ajustan en función de posibles errores o variaciones.
Es importante destacar que la velocidad de un satélite en órbita puede variar en función de diversos factores, como la influencia de otros cuerpos celestes o la presencia de fuerzas gravitatorias. Por eso, es necesario realizar mediciones periódicas y actualizar los datos de forma constante.
Factores que influyen en la velocidad de un satélite geoestacionario
La velocidad de un satélite geoestacionario es determinante para su correcto funcionamiento y desempeño en el espacio. A continuación, se presentan algunos factores clave que influyen en su velocidad:
- Altura orbital: La altura a la que se encuentra el satélite en relación a la Tierra es uno de los principales factores que afectan su velocidad. Los satélites geoestacionarios se encuentran en una órbita a aproximadamente 35,786 kilómetros sobre el ecuador terrestre, lo que les permite mantenerse en una posición fija en relación a la superficie del planeta. Esta altura orbital determina la velocidad a la que el satélite se mueve en su órbita.
- Gravedad terrestre: La fuerza gravitatoria de la Tierra también influye en la velocidad de un satélite geoestacionario. A medida que el satélite se aleja de la superficie terrestre, la gravedad disminuye, lo que afecta su velocidad orbital. Sin embargo, la velocidad del satélite debe estar equilibrada para mantenerse en una órbita estable y sincronizada con la rotación de la Tierra.
- Fricción atmosférica: A pesar de encontrarse a una gran altura, los satélites geoestacionarios aún están expuestos a una pequeña cantidad de fricción atmosférica. Esta fricción puede afectar la velocidad del satélite a largo plazo, aunque en general su impacto es mínimo debido a la altitud a la que se encuentran.

Características y factores que afectan la velocidad de un satélite geoestacionario
Los satélites geoestacionarios son una parte fundamental de la infraestructura de las comunicaciones modernas. Estos satélites se encuentran en órbita alrededor de la Tierra a una altitud de aproximadamente 36,000 kilómetros y se mueven a la misma velocidad angular que la rotación de nuestro planeta. Esto les permite permanecer en una posición fija sobre un punto específico en la superficie terrestre, lo que resulta en una cobertura constante de esa área.
Características:
- Altitud: La altitud a la que se encuentra un satélite geoestacionario es uno de los factores clave que afecta su velocidad. Cuanto más lejos esté el satélite de la Tierra, más lenta será su velocidad orbital. Esto se debe a que la gravedad disminuye a medida que nos alejamos del centro del planeta.
- Órbita sincrónica: La velocidad de un satélite geoestacionario está directamente relacionada con su órbita sincrónica. Para mantenerse en una posición fija sobre la Tierra, el satélite debe moverse a la misma velocidad angular que la rotación terrestre. Esto significa que su velocidad orbital es de aproximadamente 3.07 kilómetros por segundo.
- Comunicación bidireccional: Los satélites geoestacionarios se utilizan principalmente para la comunicación bidireccional, lo que implica que deben ser capaces de recibir y transmitir señales de manera eficiente. La velocidad de transmisión de datos de un satélite es un factor crucial para garantizar una comunicación fluida.
Factores que afectan la velocidad:
- Interferencia atmosférica: La velocidad de un satélite geoestacionario puede verse afectada por la interferencia atmosférica, como la lluvia, la nieve o las nubes densas. Estos fenómenos pueden debilitar las señales y ralentizar la transmisión de datos.
- Capacidad del transpondedor: La capacidad del transpondedor de un satélite también puede influir en su velocidad. Un transpondedor con una mayor capacidad de procesamiento y transmisión de datos permitirá una velocidad de comunicación más rápida.
- Posicionamiento y alineación: El posicionamiento y la alineación precisos del satélite son cruciales para garantizar una velocidad óptima. Cualquier desviación en la posición o la alineación puede afectar negativamente la velocidad de transmisión de datos.

Preguntas frecuentes sobre la velocidad de un satélite geoestacionario
¿Te has preguntado cuál es la velocidad de un satélite geoestacionario? En esta sección encontrarás las respuestas a las preguntas más comunes relacionadas con la velocidad de estos satélites. Descubre cómo se determina su velocidad, qué factores pueden influir en ella y mucho más. Si tienes curiosidad acerca de cómo funcionan estos satélites y cómo se mueven en el espacio, estás en el lugar indicado. ¡Sigue leyendo para obtener más información!
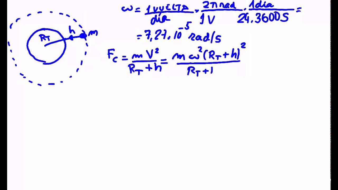
¿Cuál es la velocidad orbital necesaria para mantener un satélite geoestacionario en su posición sobre el ecuador terrestre, teniendo en cuenta la influencia de la gravedad, la fuerza centrífuga y la curvatura de la Tierra?
La velocidad orbital necesaria para mantener un satélite geoestacionario en su posición sobre el ecuador terrestre se calcula teniendo en cuenta la influencia de la gravedad, la fuerza centrífuga y la curvatura de la Tierra. Esta velocidad orbital se conoce como velocidad orbital geoestacionaria y es de aproximadamente 3.07 kilómetros por segundo. A esta velocidad, el satélite completa una órbita alrededor de la Tierra en 24 horas, lo que le permite mantenerse siempre sobre el mismo punto en el ecuador. Es importante destacar que esta velocidad puede variar ligeramente debido a factores como la altitud orbital y la masa de la Tierra.
¿Cuál es la velocidad de un satélite geoestacionario en la órbita terrestre?
La velocidad de un satélite geoestacionario en la órbita terrestre es de aproximadamente 3.07 kilómetros por segundo.
